Guidelines for Canadian Drinking Water Quality: Guideline Technical Document – Dichlorobenzenes

Table of Contents

Guideline

The maximum acceptable concentrations (MAC) and aesthetic objectives (AO) for 1,2- and 1,4-dichlorobenzene in drinking water are:

A table showing the maximum acceptable concentrations (MACs) as well as the aesthetic objectives (AOs) of 1,2-dichlorobenzene and 1,4-dichlorobenzene.
  MAC AO
mg/L µg/L mg/L µg/L
1,4-dichlorobenzene 0.005 5

 

0.001 1

(In cases where total dichlorobenzenes are measured and concentrations exceed the most stringent value [5 µg/L], the concentrations of the individual isomers should be established.)

Health Canada has withdrawn the MAC for 1,2 dichlorobenzene. Please see Withdrawal of Select Guidelines for Canadian Drinking Water Quality (2022) for more information.

Identity, Use and Sources in the Environment

Dichlorobenzenes (DCBs) are chlorinated aromatic compounds. There are three DCB isomers: 1,2-DCB, 1,3-DCB and 1,4-DCB. 1,2- and 1,3-DCB are liquids at room temperature, whereas 1,4-DCB is a solid with a melting point of 53°C. Their vapour pressures are moderate, ranging from 90 to 270 Pa at 25°C. They are moderately soluble in water, with solubilities ranging from 30.9 to 124.5 mg/L at 20°C (for 1,4- and 1,3-DCBs, respectively). Their log octanol-water partition coefficients (Kow) are moderately high, around 3.0 for all three isomers.Footnote 1 Dichlorobenzenes are not manufactured in Canada, but several thousand tonnes of both the 1,2- and 1,4-isomers are imported each year from the United States for use in degreasing and paint removal formulations (1,2-DCB), as chemical intermediates (1,2-DCB), in moth crystals (1,4-DCB) and in urinal or space deodorants (1,4-DCB). Emissions of DCBs to the environment are believed to be small; however, the 1,4-isomer may be released into water from urinal deodorants.Footnote 1

Download the alternative format
(PDF format, 41 MB, 5 pages)

Organization: Health Canada
Type: Guidelines

Date published: 1987-02

Exposure

There are very few data on concentrations of DCBs in Canadian drinking water; in the water supplies of three Ontario cities, total mean DCB concentrations ranged from 1.0 to 13 ng/L, most of which was 1,4-DCB. Concentrations of single compounds ranged up to 20 ng/L.Footnote 2 Concentrations of 1,2-DCB were below the detection limit (0.1 µg/L) in 144 of 145 samples of raw and treated water collected in Quebec in May 1985, February 1986 and July 1986. The measured concentration in one sample was 3.4 µg/L. The 1,4-isomer was detected in four of 143 samples at concentrations below 1 µg/L.Footnote 3 Traces of 1,2- and 1,4-DCB were detected (detection limit <1 µg/L) in three of 29 treated municipal water supplies in Alberta during 1980 to 1985.Footnote 4
The limited data available indicate that intake of DCBs from air is considerably greater than that from food or drinking water. Concentrations of 1,4-DCB in air sampled in Montreal for a one-year period beginning in October 1984 averaged 0.3 µg/m3 and ranged up to 0.8 µg/m3 (47 samples). Concentrations in Toronto air during a similar period averaged 0.4 µg/m3 and ranged up to 2.1 µg/m3 (72 samples).Footnote 5 For suckling infants, mothers' milk may be a significant source of exposure to DCBs.Footnote 6

Analytical Methods and Treatment Technology

Technology

Dichlorobenzenes are detected by a purge and trap gas chromatographic procedure.Footnote 7 The practical quantitation limit (PQL) (based on the ability of laboratories to measure DCBs within reasonable limits of precision and accuracy) is 5 µg/L.Footnote 8Footnote 9

It is unlikely that DCB levels are reduced significantly during conventional drinking water treatment processes. However, removal of volatile organic compounds by packed tower aeration and granular activated carbon adsorption has been estimated to be 90 to 99% effective, and it is likely that concentrations of DCBs below 1 µg/L can be achieved in Canadian drinking water supplies using these methods.Footnote 7

Health Effects

Dichlorobenzenes are readily absorbed through the lungs, gastrointestinal tract and skin; however, quantitative data on uptake are not available. Once absorbed, DCBs are rapidly distributed to many tissues; concentrations are greatest in adipose tissue (levels 10 to 32 times those in the blood). Intermediate levels are found in the lung and kidney, and lower concentrations are present in the liver, muscle and plasma. Dichlorobenzenes are primarily metabolized by hydroxylation to their respective dichlorophenols, which are excreted in the urine as glucuronic acid and sulphate conjugates within five to six days after exposure. The 1,2-isomer and metabolites are eliminated slightly more rapidly than 1,4-DCB. Intermediates of the metabolism of 1,2-DCB, possibly arene oxides, bind to liver protein and may be involved in the induction of hepatotoxicity.Footnote 10
There have been isolated reports in the literature of anaemia and chronic lymphoid leukaemia, skin lesions, anorexia and nausea, irritation of the eyes and upper respiratory tract, blood dyscrasias and liver damage in individuals exposed to high concentrations of DCBs.Footnote 1  However, most of the information on the toxicity of these compounds has been obtained in animal bioassays and is restricted to the 1,2-and 1,4-isomers.
Acute poisoning is characterized by signs of disturbance of the central nervous system and kidney and/or liver damage (including necrosis/degeneration and sometimes porphyria).Footnote 11 In 14-day repeated-dose gavage studies in F344/N rats (60 to 1000 mg/kg bw)Footnote 12,Footnote 13  and B6C3F1 mice (30 to 4000 mg/kg bw in corn oil),Footnote 14Footnote 15 hepatic centrilobular necrosis and degeneration, occasionally with cytomegaly and karyomegaly, as well as lymphoid depletion of the spleen and thymus, were observed. In addition, there were early deaths and decreases in body weight gain at the high doses.
Footnote 19-21 Several subchronic toxicity studies of the effects of ingestion of 1,2- and 1,4-DCB have been conducted.Footnote 16 The most recent and well-described of these studies have been those performed under the auspices of the National Toxicology Program (NTP).1Footnote  F344/N rats were more sensitive than B6C3F1 mice to the administration of 1,2-DCB (0 to 500 mg/kg bw) in corn oil daily by gavage, five days per week for 13 weeks. The lowest-observed-adverse-effect level (LOAEL) in rats was considered to be 30 mg/kg bw.Footnote 19 Changes at this exposure level included increases in serum cholesterol (males), total serum protein (females) and serum glucose levels (females); at higher dose levels, effects were similar to those observed in the 14-day studies described above. In similar studies with the 1,4-isomer, rats were also more sensitive than mice; the no-observed-adverse-effect level (NOAEL) was determined to be 150 mg/kg bw per day. At higher concentrations (300 or 600 mg/kg bw), the incidence and severity of renal cortical degeneration were increased.

The carcinogenicity of 1,2-DCB has been investigated in a recently completed NTP study.Footnote 19 Doses of 0, 60 and 120 mg/kg bw were administered daily by gavage in corn oil, five days per week for 103 weeks, to groups of 50 male and 50 female F344/N rats or B6C3F1 mice. In both rats and mice, there were no differences in survival rates of treated and control animals, and there was no evidence of compound-related neoplastic or non-neoplastic lesions. It should be noted, however, that these doses were probably less than the maximum tolerated dose (MTD).

The carcinogenicity of the 1,4-isomer has been investigated in an inhalation study in which groups of 75 to 79 Alderley Park Wistar-derived rats of each sex and a similar number of mice (Alderley Park, Swiss strain) were exposed five hours per day, five days per week, to 0, 75 or 500 ppm (0, 450 or 3000 mg/m3) (rats, 76 weeks; mice, 57 weeks).Footnote 22 No treatment-related changes in body weight, food and water intake, mortality rates or incidence, multiplicity or malignancy of tumours were observed; however, again dose levels were probably less than the MTD.
Conversely, there was clear evidence of the carcinogenicity of 1,4-DCB in a recently completed NTP bioassay.Footnote 23 Doses of 0, 150 and 300 mg/kg bw in corn oil were administered daily by gavage, five days per week for two years, to groups of 50 male and 50 female F344/N rats. Similarly, doses of 0, 300 and 600 mg/kg bw were administered to B6C3F1 mice. In rats, increased incidence of renal degeneration was observed even at the lowest dose level (150 mg/kg bw). In addition, the incidence of renal tubular cell adenocarcinomas (males only) and mononuclear cell leukaemias (males only) was increased. In mice, the incidence of hepatocellular carcinomas (high-dose group in both sexes), hepatocellular adenomas (males and high-dose group for females) and phaeochromocytomas of the adrenal gland (males only, high-dose group) was increased.

Dichlorobenzenes are not mutagenic in bacteria, but mutations in mould and plant cultures and chromosomal aberrations in plants and in human workers (1,2-DCB) have been observed.Footnote 10 There have also been isolated reports of leukaemia in workers exposed to DCBs.

Classification and Assessment

1,2-Dichlorobenzene: There has been no evidence of carcinogenicity of 1,2-DCB in two species. However, the doses administered in the studies conducted to date were probably below the MTD, thereby reducing the sensitivity of the assays. The data available are onsidered, therefore, to be inadequate to classify 1,2-DCB with respect to its potential carcinogenicity; it has, therefore, been included in Group VA (inadequate data for evaluation).

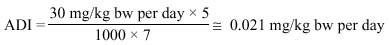
For compounds classified in Group VA, the MAC is derived on the basis of division of the NOAEL or LOAEL in an animal species by an uncertainty factor. For 1,2-DCB, the acceptable daily intake (ADI) is derived as follows:

Formula
 
Long description - The equation used to calculate the acceptable daily intake (ADI) of 1,2-dichlorobenzene.
The ADI of 1,2-dichlorobenzene is calculated by multiplying the lowest-observed-adverse-effects-level (LOAEL) of 30 mg/kg body weight per day by 5 (representing five days of dosing). This product is then divided by the product of the uncertaintly factor of 1000 multiplied by 7 (representing seven days of dosing). This results in an ADI for 1,2-dichlorobenzene of 0.021 mg/kg body weight per day (rounded)..
 

where:

  • 30 mg/kg bw per day is the LOAEL observed in the most sensitive species (rats) in the most recent and well-documented subchronic study19
  • 1000 is the uncertainty factor (×10 for less-than-lifetime study; ×10 for LOAEL rather than NOAEL; and ×10 for extrapolation from animals to humans [generally 100; however, end point for the LOAEL is much more sensitive than traditional end points, and NOAEL in chronic studies is greater than that in subchronic studies])
  • 5/7 is the conversion of five days per week of dosing to seven days per week.

1,3-Dichlorobenzene: There are no data available to serve as a basis for establishing an MAC for 1,3-DCB in drinking water.

1,4-Dichlorobenzene: For 1,4-DCB, there was clear evidence of carcinogenicity in the most sensitive bioassay (NTP) conducted to date.Footnote 23 (It should be noted, however, that the increased incidence of renal tubular cell adenocarcinomas in male rats was observed at dose levels that caused damage to the kidneys.) 1,4-Dichlorobenzene has, therefore, been classified in Group II -- probably carcinogenic to man (sufficient evidence in animals; inadequate data in man) -- and cancer risks have been estimated on the basis of the results of the NTP carcinogenesis bioassay in F344/N Footnote 23  Incorporating a rats and B6C3F1 mice (gavage). surface area correction and using the robust linear extrapolation model for each of the significantly increased tumour types, one can calculate that unit lifetime risks associated with the ingestion of 1 µg/L 1,4-DCB in drinking water range from 1.2 × 10-7 (based on hepatocellular adenomas in male mice) to 4.3 × 10-7 (based on phaeochromocytomas of the adrenal gland in male mice).* The estimated ranges of concentrations in drinking water corresponding to lifetime risks of 10-5,

10-6 and 10-7 for these same tumour types based on the model described above are as follows:

A table showing a range of concentrations of 1,4-dichlorobenzene in drinking water and their corresponding excess lifetime risk of cancer (above background).
Lifetime risk Concentrations in drinking water (µg/L)
   10-5 23 - 83
   10-6 2.3 - 8.3
   10-7 0.23 - 0.83

Average adult body weight = 70 kg; average daily intake of drinking water = 1.5 L.

Rationale

1,2-Dichlorobenzene: Because 1,2-DCB is classified in Group VA (inadequate data for evaluation), the MAC in drinking water is derived from the ADI as follows:

Formula
 
Long description - The equation used to calculate the maximum acceptable concentration (MAC) for 1,2-dichlorobenzene in drinking water.
The MAC for 1,2-dichlorobenzene in drinking water is calculated by multiplying the ADI of 0.021 mg/kg body weight per day by the average adult body weight of 70 kg, then multiplying the result by the proportion of 1,2-dichlorobenzene considered to be ingested in drinking water, 0.20. This product is then divided by the average daily consumption of drinking water for an adult of 1.5 L/day. This results in a MAC of 0.20 mg/L (rounded) for 1,2-dichlorobenzene in drinking water.
 

where:

  • 0.021 mg/kg bw per day is the ADI, as derived above
  • 70 kg is the average body weight of an adult
  • 0.20 is the proportion of total intake ingested in drinking water; limited available data indicate that the amount of DCBs ingested in drinking water is 20% of that ingested in food
  • 1.5 L/d is the average daily consumption of drinking water for an adult.
Based on the threshold odour value, the aesthetic objective (AO) for 1,2-DCB is ≤ 0.003 mg/L.Footnote 24

1,4-Dichlorobenzene: Because 1,4-DCB is classified in Group II (probably carcinogenic to man), the MAC is based on consideration of available practicable treatment technology and estimated lifetime cancer risks. Because the MAC must also be measurable by available analytical methods, the PQL is also taken into consideration in its derivation.

An MAC of 0.005 mg/L (5 µg/L) was established, therefore, on the basis of the following considerations:

  1. The estimated unit lifetime cancer risks associated with the ingestion of 1 µg/L 1,4-DCB in drinking water range from 1.2 × 10-7 (based on hepatocellular adenomas in male mice) to 4.3 × 10-7 (based on phaeochromocytomas of the adrenal gland in male mice). Therefore, the estimated lifetime risks associated with the ingestion of drinking water containing 5 µg/L 1,4-DCB (i.e., 6.0 × 10-7 to 2.2 × 10-6) are within a range that is considered to be "essentially negligible."
  2. is likely that concentrations of DCB below 1 µg/L can be achieved in Canadian drinking water supplies by packed tower aeration and granular activated carbon adsorption.
  3. The PQL (based on the ability of laboratories to measure DCBs within reasonable limits of precision and accuracy) is 5 µg/L.

The aesthetic objective (AO) for 1,4-DCB is ≤ 0.001 mg/L, based on the threshold odour value.Footnote 24

References

Page details

Date modified: