Mosquito-borne disease surveillance report: July 21 to 27, 2019 (Week 30)
Download the alternative format
(PDF format, 662 KB, 3 pages)
Organization: Public Health Agency of Canada
Published: 2019-08-06
Related Topics
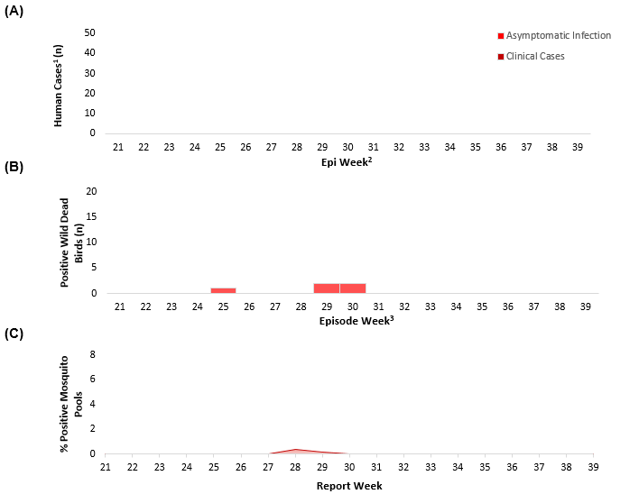
Year-to-Date Snapshot - Text Description
Between January 1, 2019 and July 27, 2019, 0 human cases associated with West Nile virus have been reported to the Public Health Agency of Canada. Five WNV-positive birds and three WNV-positive mosquito pools have been reported to date. No WNV-positive horses have been reported.
West Nile
Human Epidemiology
As of surveillance week 30, ending on July 27, 2019, no human cases of West Nile virus (WNV) have been reported to the Public Health Agency of Canada (PHAC).
Mosquito, Wild Bird & Equine Epidemiology
As of week 30, PHAC has been notified of 2311 mosquito pools tested for WNV. Of these, three positive mosquito pools were identified: two in Ontario and one in Manitoba (Table 1).
Five of nineteen dead wild birds have been tested positive for WNV, by the Canadian Wildlife Health Cooperative (CWHC): four in Ontario and one in Quebec (Table 2).
Since the start of this season, the Canadian Food Inspection Agency (CFIA) has not reported any domestic animals that tested positive for WNV (Table 2).
Figure 1 - Text description
Between January 1, 2019 and July 27, 2019, 0 human cases associated with West Nile virus have been reported to PHAC. A total of five birds and 0.13% of mosquito pools have tested positive for WNV in Canada and reported to PHAC.
Figure1 - footnotes
- Footnote 1
-
Human cases includes clinical cases and asymptomatic infection.
Return to footnote 1 referrer
- Footnote 2
-
Episode week is based on symptom onset or best available date including: diagnosis, lab sample or date reported.
Return to footnote 2 referrer
- Footnote 3
-
Episode week is based off date of death or best available date including: date found, submitted, or received.
Return to footnote 3 referrer
| ProvinceFootnote 1 | Positive Pools | Total Pools Tested | Percent Positive |
|---|---|---|---|
| Saskatchewan | 0 | 35 | 0.00 % |
| Manitoba | 1 | 483 | 0.21 % |
| Ontario | 2 | 1082 | 0.18 % |
| Québec | 0 | 711 | 0.00 % |
| Total | 3 |
2311 |
0.13 % |
|
|||
| Province | Wild BirdsFootnote 1 | Equine | ||
|---|---|---|---|---|
| Week 30 | Year-to-Date Total | Week 30 | Year-to-Date Total | |
| British Columbia | 0 | 0 | 0 | 0 |
| Alberta | 0 | 0 | 0 | 0 |
| Saskatchewan | 0 | 0 | 0 | 0 |
| Manitoba | 0 | 0 | 0 | 0 |
| Ontario | 1 | 4 | 0 | 0 |
| Québec | 1 | 1 | 0 | 0 |
| Maritime Provinces | 0 | 0 | 0 | 0 |
| Territories | 0 | 0 | 0 | 0 |
| Total | 2 |
5 |
0 | 0 |
|
||||
California Serogroup
As of July 27, 2019, no human exposures or cases of California serogroup virus have been reported by the National Microbiology Laboratory.
Eastern Equine Encephalitis
No human cases of EEEV have been reported to PHAC since the beginning of the 2019 transmission season.
The CFIA has not reported any horses testing positive for Eastern Equine Encephalitis virus (EEEV) in Canada.
Provincial/Territorial & International Surveillance Links
Data reported to PHAC is subject to change and may differ from provincial webpages due to reporting timelines. To obtain the latest arbovirus surveillance data, please refer to the following jurisdictional/regional webpages:
Provincial
Notes
Thank you to all our partners for participating in the National WNV/MBD surveillance program.
Page details
- Date modified: