Mosquito-borne disease surveillance report: August 18 to 24, 2019 (Week 34)

Download the alternative format
(PDF format, 1.10 Mb, 4 pages)

Organization: Health Canada

Date published: 2019-09-04

Related Topics

Year-to-Date Snapshot
Year-to-Date Snapshot - Text Equivalent

Between January 1, 2019 and August 24, 2019, three human cases of West Nile virus (WNV) have been reported to the Public Health Agency of Canada (PHAC). Ten WNV-positive birds, 43 WNV-positive mosquito pools, and 2 WNV-positive horses have been reported. In addition, three horses have tested positive for eastern equine encephalitis virus (EEEV) to date.

West Nile

Human Epidemiology

As of surveillance week 34, ending on August 24, 2019, three human cases of West Nile virus (WNV) have been reported to the Public Health Agency of Canada (PHAC) (Table 1). Of these, one case in British Columbia was acquired outside of Canada prior to the start of the 2019 transmission season.

Table 1. Year-to-Date (YTD) WNV human cases, by disease classification and province (January 1- August 17, 2019)
Province Clinical Cases Total Footnote 1 Asymptomatic Infections Footnote 2 YTD Grand Total Rate(per 100,000) Footnote 3
Neurological Non-neurological Unclassified
British Columbia 0 1 0 1 0 1 0
Alberta 0 0 0 0 0 0 0
Saskatchewan 0 - - 0 0 0 0
Manitoba 0 0 0 0 0 0 0
Ontario 0 1 0 1 1 2 0
Québec 0 0 0 0 0 0 0
Maritime Provinces 0 0 0 0 0 0 0
Territories 0 0 0 0 0 0 0
Total 0 2 0 2 1 3 0
Footnote 1

Clinical cases are the sum of confirmed and probable: WNV neurological and non-neurological syndromes, along with any unclassified.

Return to footnote 1 referrer

Footnote 2

Satisfies WNV diagnostic test criteria in the absence of clinical criteria (i.e., asymptomatic blood donors whose blood is screened by blood operators, Canadian Blood Services or Héma-Québec.

Return to footnote 2 referrer

Footnote 3

Calculated with grand total of clinical and asymptomatic cases, using Statistics Canada 2018 population estimates.

Return to footnote 3 referrer

Figure 1. Geographic distribution of WNV human clinical cases and asymptomatic infections in Canada, 2019
Figure 1 - Text Equivalent

Between January 1, 2019 and August 24, 2019, two human cases associated with West Nile virus acquired in Canada were reported to PHAC.

Mosquito, Wild Bird & Equine Epidemiology

As of week 34, PHAC has been notified of 7,904 mosquito pools tested for WNV. Of these, 43 (0.54%) were positive in Quebec (5), Ontario (32) and Manitoba (6) (Table 2).

Ten of 34 dead wild birds have tested positive for WNV, by the Canadian Wildlife Health Cooperative (CWHC) in Saskatchewan (1), Ontario (6) and Quebec (3) (Table 3).

Since the start of this season, the Canadian Food Inspection Agency (CFIA) has reported two horses that tested positive for WNV in British Columbia (1) and Saskatchewan (1) (Table 3).

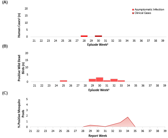
Figure 2. (A) WNV human clinical cases and asymptomatic infections, (B) positive WNV birds, and (C) percent positive mosquito pools by episode or report week, in Canada, 2019
Figure 2 - Text Equivalent

Between January 1, 2019 and August 24, 2019, two human cases associated with West Nile virus acquired in Canada were reported to PHAC. A total of 10 birds and 0.54% of mosquito pools have tested positive for WNV in Canada and reported to PHAC.

Figure 2 - footnotes

Footnote 1

Human cases includes clinical cases and asymptomatic infection.

Return to footnote 1 referrer

Footnote 2

Episode week is based on symptom onset or best available date including: diagnosis, lab sample or date reported.

Return to footnote 2 referrer

Footnote 3

Episode week is based off date of death or best available date including: date found, submitted, or received.

Return to footnote 3 referrer

Table 2. Year-to-Date WNV positive pools and percent positive by province and nationally (January 1- August 24, 2019)
Province Footnote 1 Positive Pools Total Pools Tested Percent Positive
Saskatchewan 0 196 0.00 %
Manitoba 6 1164 0.52 %
Ontario 32 5338 0.60 %
Québec 5 1206 0.41 %
Total 43 7904 0.54 %
Footnote 1

Mosquito surveillance data is reported by the following four provinces: Saskatchewan, Manitoba Ontario and Quebec.

Return to footnote 1 referrer

Table 3. Number of WNV positive animal cases for current week and year to date (January 1- August 24, 2019)
Province Wild Birds Footnote 1 Equine
Week 34 Year-to-Date Total Week 34 Year-to-Date Total
British Columbia 0 0 0 1
Alberta 0 0 0 0
Saskatchewan 0 1 1 1
Manitoba 0 0 0 0
Ontario 0 6 0 0
Québec 0 3 0 0
Maritime Provinces 0 0 0 0
Territories 0 0 0 0
Total 0 10 1 2
Footnote 1

Not all provinces conduct dead wild bird surveillance as part of their respective WNV surveillance program. However, WNV positive dead wild birds may be identified through the National Wildlife Disease Surveillance Program, CWHC or by specific provinces.

Return to footnote 1 referrer

California Serogroup

As of August 24, 2019, no human exposures or cases of California serogroup virus have been reported by the National Microbiology Laboratory.

Eastern Equine Encephalitis

No human cases of EEEV have been reported to PHAC since the beginning of the 2019 transmission season.

The CFIA has reported three horses that tested positive for Eastern Equine Encephalitis virus (EEEV) in Ontario.

Provincial/Territorial & International Surveillance Links

Data reported to PHAC is subject to change and may differ from provincial webpages due to reporting timelines. To obtain the latest arbovirus surveillance data, please refer to the following jurisdictional/regional webpages:

Notes

Thank you to all our partners for participating in the National WNV/MBD surveillance program.

Page details

Date modified: