Mosquito-borne disease surveillance report: August 25 to 31, 2019 (Week 35)

Download the alternative format
(PDF format, 1.10 Mb, 4 pages)

Organization: Health Canada

Date published: 2019-09-10

Related Topics

Year-to-Date Snapshot
Year-to-Date Snapshot - Text Equivalent

Between January 1, 2019 and August 31, 2019, four human cases of West Nile virus (WNV) have been reported to the Public Health Agency of Canada (PHAC). Seventeen WNV-positive birds, 65 WNV-positive mosquito pools, and 4 WNV-positive horses have been reported. In addition, six horses have tested positive for eastern equine encephalitis virus (EEEV) to date.

West Nile

Human Epidemiology

As of surveillance week 35, ending on August 31, 2019, four human cases of West Nile virus (WNV) have been reported to the Public Health Agency of Canada (PHAC) (Table 1). Of these, two cases in British Columbia and Ontario reported travel outside of Canada.

Table 1. Year-to-Date (YTD) WNV human cases, by disease classification and province (January 1- August 31, 2019)
Province Clinical Cases Total Footnote 1 Asymptomatic Infections Footnote 2 YTD Grand Total Rate(per 100,000) Footnote 3
Neurological Non-neurological Unclassified
British Columbia 0 1 0 1 0 1 0.02
Alberta 0 0 0 0 0 0 0.00
Saskatchewan 0 - - 0 0 0 0.00
Manitoba 0 0 0 0 0 0 0.00
Ontario 0 1 1 2 1 3 0.02
Québec 0 0 0 0 0 0 0.00
Maritime Provinces 0 0 0 0 0 0 0.00
Territories 0 0 0 0 0 0 0.00
Total 0 2 1 3 1 4 0.01
Footnote 1

Clinical cases are the sum of confirmed and probable: WNV neurological and non-neurological syndromes, along with any unclassified.

Return to footnote 1 referrer

Footnote 2

Satisfies WNV diagnostic test criteria in the absence of clinical criteria (i.e., asymptomatic blood donors whose blood is screened by blood operators, Canadian Blood Services or Héma-Québec.

Return to footnote 2 referrer

Footnote 3

Calculated with grand total of clinical and asymptomatic cases, using Statistics Canada 2018 population estimates.

Return to footnote 3 referrer

Figure 1. Geographic distribution of WNV human clinical cases and asymptomatic infections in Canada, 2019
Figure 1 - Text Equivalent

Since the start of the transmission season, three human cases of WNV have been reported to PHAC.

Mosquito, Wild Bird & Equine Epidemiology

As of week 35, PHAC has been notified of 8,936 mosquito pools tested for WNV. Of these, 65 (0.73%) were positive in Quebec (10), Ontario (49) and Manitoba (6) (Table 2).

Seventeen of 42 dead wild birds have tested positive for WNV, by the Canadian Wildlife Health Cooperative (CWHC) in Saskatchewan (1), Ontario (12) and Quebec (4) (Table 3).

Since the start of this season, the Canadian Food Inspection Agency (CFIA) has reported four horses that tested positive for WNV in British Columbia (1), Saskatchewan (1), Alberta (1) and Quebec (1) (Table 3).

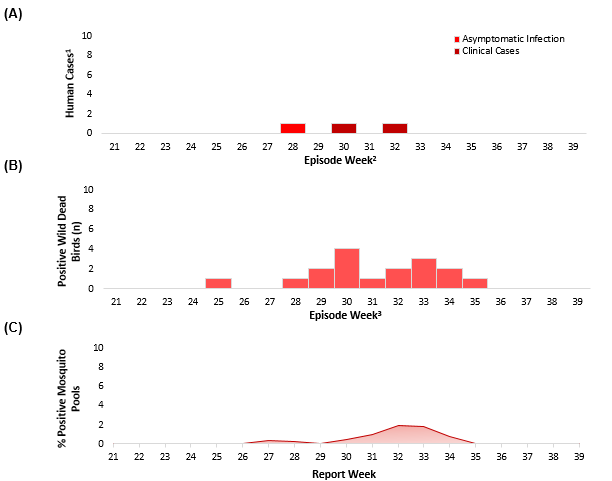
Figure 2. (A) WNV human clinical cases and asymptomatic infections, (B) positive WNV birds, and (C) percent positive mosquito pools by episode or report week, in Canada, 2019
Figure 2 - Text Equivalent

Since the start of the transmission season, three human cases of WNV have been reported to PHAC. A total of 17 birds and 0.73% of mosquito pools have tested positive for WNV in Canada and reported to PHAC.

Figure 2 - footnotes

Footnote 1

Human cases includes clinical cases and asymptomatic infection.

Return to footnote 1 referrer

Footnote 2

Episode week is based on symptom onset or best available date including: diagnosis, lab sample or date reported.

Return to footnote 2 referrer

Footnote 3

Episode week is based off date of death or best available date including: date found, submitted, or received.

Return to footnote 3 referrer

Table 2. Year-to-Date WNV positive pools and percent positive by province and nationally (January 1- August 31, 2019)
Province Footnote 1 Positive Pools Total Pools Tested Percent Positive
Saskatchewan 0 200 0.00 %
Manitoba 6 1164 0.52 %
Ontario 49 6253 0.78 %
Québec 10 1319 0.76 %
Total 65 8936 0.73 %
Footnote 1

Mosquito surveillance data is reported by the following four provinces: Saskatchewan, Manitoba Ontario and Quebec.

Return to footnote 1 referrer

Table 3. Number of WNV positive animal cases for current week and year to date (January 1- August 31, 2019)
Province Wild Birds Footnote 1 Equine
Week 35 Year-to-Date Total Week 35 Year-to-Date Total
British Columbia 0 0 0 1
Alberta 0 0 0 1
Saskatchewan 0 1 0 1
Manitoba 0 0 0 0
Ontario 1 12 0 0
Québec 0 4 1 1
Maritime Provinces 0 0 0 0
Territories 0 0 0 0
Total 1 17 1 4
Footnote 1

Not all provinces conduct dead wild bird surveillance as part of their respective WNV surveillance program. However, WNV positive dead wild birds may be identified through the National Wildlife Disease Surveillance Program, CWHC or by specific provinces.

Return to footnote 1 referrer

California Serogroup

As of August 31, 2019, no human exposures or cases of California serogroup virus have been reported by the National Microbiology Laboratory.

Eastern Equine Encephalitis

No human cases of EEEV have been reported to PHAC since the beginning of the 2019 transmission season.

The CFIA has reported six horses that tested positive for Eastern Equine Encephalitis virus (EEEV) in Ontario.

Provincial/Territorial & International Surveillance Links

Data reported to PHAC is subject to change and may differ from provincial webpages due to reporting timelines. To obtain the latest arbovirus surveillance data, please refer to the following jurisdictional/regional webpages:

Notes

Thank you to all our partners for participating in the National WNV/MBD surveillance program.

Page details

Date modified: